
深度优先搜索和广度优先搜索,都是图形搜索算法,它两类似,又却不同,在应用上也被用到不同的地方。这里拿一起探讨,方便比较。
一、深度优先搜索
深度优先搜索属于图算法的一种,是一个针对图和树的遍历算法,英文缩写为DFS即Depth First Search。深度优先搜索是图论中的经典算法,利用深度优先搜索算法可以产生目标图的相应拓扑排序表,利用拓扑排序表可以方便的处理很多相关的图论问题,如最大路径问题等等。一般用堆数据结构来辅助实现DFS算法。其过程简要来说是对每一个可能的分支路径深入到不能再深入为止,而且每个节点只能访问一次。
基本步奏
(1)对于下面的树而言,DFS方法首先从根节点1开始,其搜索节点顺序是1,2,3,4,5,6,7,8(假定左分枝和右分枝中优先选择左分枝)。

(2)从stack中访问栈顶的点;

(3)找出与此点邻接的且尚未遍历的点,进行标记,而后放入stack中,依次进行;

(4)假如此点没有尚未遍历的邻接点,则将此点从stack中弹出,再按照(3)依次进行;


(5)直到遍历完整个树,stack里的元素都将弹出,最后栈为空,DFS遍历完成。


二、广度优先搜索
广度优先搜索(也称宽度优先搜索,缩写BFS,以下采用广度来形容)是连通图的一种遍历算法这一算法也是很多重要的图的算法的原型。Dijkstra单源最短路径算法和Prim最小生成树算法都采用了和宽度优先搜索相似的思想。其别名又叫BFS,属于一种盲目搜寻法,目的是系统地开展并检查图中的所有节点,以找寻结果。换句话说,它并不考虑结果的可能位置,彻底地搜索整张图,直到找到结果为止。基本过程,BFS是从根节点开始,沿着树(图)的宽度遍历树(图)的节点。假如所有节点均被访问,则算法停止。一般用队列数据结构来辅助实现BFS算法。
基本步奏
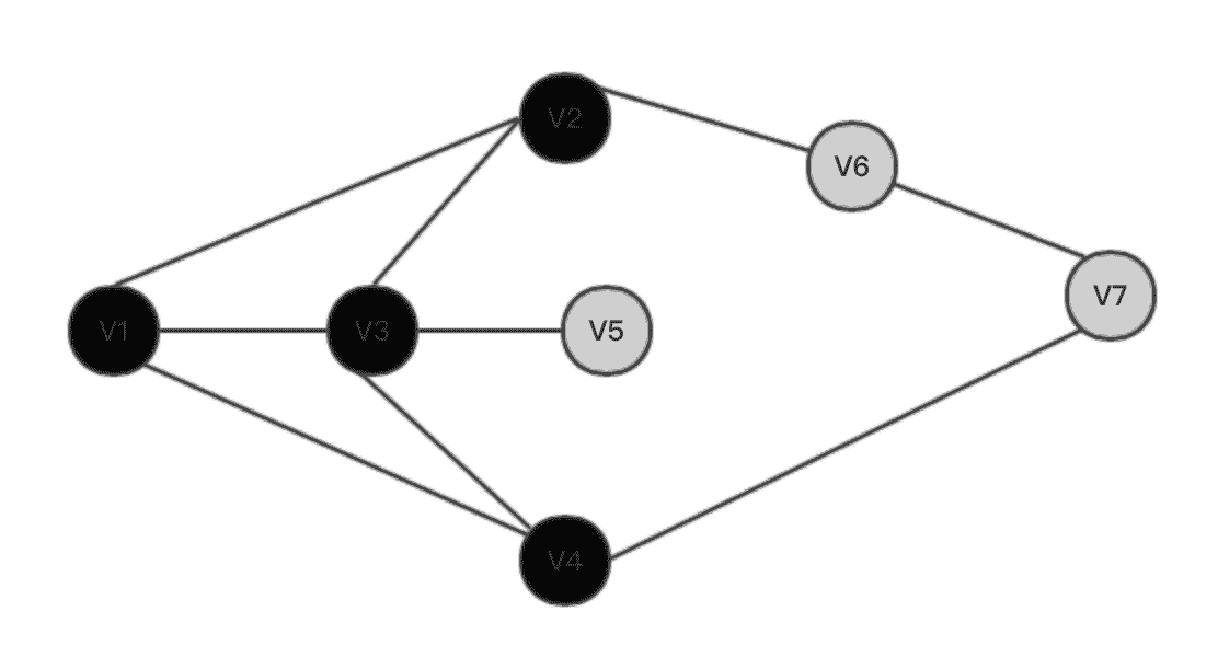
(1)给出一连通图,如图,初始化全是白色(未访问);

(2)搜索起点V1(灰色);

(3)已搜索V1(黑色),即将搜索V2,V3,V4(标灰);

(4)对V2,V3,V4重复以上操作;

(5)直到终点V7被染灰,终止;

(6)最短路径为V1,V4,V7.